News from the sodium chip lab will be posted on this page! |
|
![]() Molecular resonance with its Zeeman substructure. |
Microwave spectroscopy of ultracold sodium least-bound molecular statesWe have performed microwave spectroscopy of sodium least-bound molecular states, improving the precision of the knowledge of their energies at zero magnetic field by almost three orders of magnitude. Our experimental observations give us access also to states submitted to predissociation, a phenomenon where a bound molecular state can naturally decay into the continuum. Our findings are compared to numerical calculations based on the latest interpolation of sodium interaction potentials and show good agreement, with slight discrepancies in the zero-field energy of the molecular states, suggesting a need for small adjustment of the interaction potentials. See the publication
|
![]() Fast Rabi oscillation at high microwave power. |
Fast manipulation of a quantum gas on an atom chip with a strong microwave fieldWe report on an experimental platform based on an atom chip encompassing a coplanar waveguide which enables the manipulation of a quantum gas of sodium atoms with strong microwave fields. We describe the production with this setup of a very elongated degenerate quantum gas with typically 106 atoms that can be prepared all along the crossover from the three-dimensional to the one-dimensional regime, depending on the atom number and trapping geometry. Using the microwave field radiated by the waveguide, we drive Rabi oscillations between the hyperfine ground states, with the atoms trapped at various distances from the waveguide. At the closest position explored, the field amplitude exceeds 56 G, corresponding to a Rabi frequency on the strongest transition larger than 6 MHz. This enables fast manipulation of the atomic internal state. See the publication
|
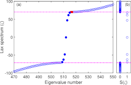
![]() Lax spectrum with 7 solitons. |
Characterizing far from equilibrium states of the one-dimensional nonlinear Schrödinger equationWe use the mathematical toolbox of the inverse scattering transform to study quantitatively the number of solitons in far from equilibrium one-dimensional systems described by the defocusing nonlinear Schrödinger equation. We present a simple method to identify the discrete eigenvalues in the Lax spectrum and provide a extensive benchmark of its efficiency. Our method can be applied in principle to all physical systems described by the defocusing nonlinear Schrödinger equation and allows to identify the solitons velocity distribution in numerical simulations and possibly experiments. See the publication
|
![]() The magnetic coils arrangement for atom transport. |
Comparison of time profiles for the magnetic transport of cold atomsWe have compared different time profiles for the trajectory of the centre of a quadrupole magnetic trap designed for the transport of cold sodium atoms. Our experimental observations show that a smooth profile characterized by an analytical expression involving the error function minimizes the transport duration while limiting atom losses and heating of the trapped gas. Using numerical calculations of single atom classical trajectories within the trap, we show that this observation can be qualitatively interpreted as a trade-off between two types of losses: finite depth of the confinement and Majorana spin flips. See the publication
|
![]() Red: atom number in the MOT without the pumping stage. Black: with pumping, as a function of the pumping frequency. |
Detailed study of a transverse field Zeeman slowerWe present a thorough analysis of a Zeeman slower for sodium atoms made of permanent magnets in a Halbach configuration. Due to the orientation of the magnetic field, the polarisation of the slowing laser beam cannot be purely circular leading to optical leakages into dark states. To circumvent this effect, we propose an atomic state preparation stage able to significantly increase the performances of the Zeeman slower. After a careful theoretical analysis of the problem, we experimentally implement an optical pumping stage leading to an increase of the magneto-optical trap loading rate by 3.5, see figure. Such method is easy to set up and could be extended to other Zeeman slower architectures. See the publication
|
In collaboration with Vienna: |
|
![]() |
Dynamics of parametric matter wave amplificationWe develop a model for parametric amplification, based on a density matrix approach, which naturally accounts for the peculiarities arising for matter waves: significant depletion and explicit time-dependence of the source state population, long interaction times, and spatial dynamics of the amplified modes. We apply our model to explain the details in an experimental study on twin-atom beam emission from a one-dimensional degenerate Bose gas. Work in collaboration with the Vienna group. See the publication
|
![]() |
Hanbury Brown and Twiss correlations across the Bose-Einstein condensation thresholdHanbury Brown and Twiss correlations, i.e. correlations in far-field intensity fluctuations, yield fundamental information on the nature of light sources, as highlighted after the discovery of photon bunching. Drawing on the analogy between photons and atoms, comparable observations have been made studying expanding Bose gases. We have used two-point density correlations to study how matter-wave coherence is established when crossing the Bose-Einstein condensation threshold. Our experiments reveal a persistent multimode character of the source, also significantly below the condensation threshold temperature. Complex quantum correlations are observed for a variety of source geometries, from quasi-isotropic to highly elongated. Ideal Bose gas theory reproduces most of the qualitative features of our measurements, however a quantitative analysis highlights the need for a more comprehensive theoretical description including particle interactions. Work in collaboration with the Vienna group. See the publication
|